
江蘇涌華金屬科技有限公司
電 話:0510-88229298、88229299
傳 真:0510-88265568
手 機:18961839299、15312225903
聯系人:范經理
網 址:www.hbcyhq.com
地 址:無錫市錫山區春暉中路66號
GH4169合金在-253~700℃溫度范圍內具有良好的綜合性能,650℃以下的屈服強度居變形高溫合金的,并具有良好的耐輻射、耐氧化、耐腐蝕性能,以及良好的加工性能、焊接性能良好。能夠制造形狀復雜的零部件
該合金的另一特點是合金組織對熱加工工藝特別敏感,掌握合金中相析出和溶解規律及組織與工藝、性能的相互關系,可針對不同的使用要求制定合理、可行的工藝規程,就能獲得可滿足不同強度級別和使用要求的零件。機匣等零部件長期使用。
高溫合金GH4169是航空發動機機匣部件的主要金屬材料,具有耐高溫、抗氧化等優點。在制造和服役過程中,GH4169內部組織分布的不均勻會導致環件在加工過程中出現變形,或者機匣在使用過程中出現變形,嚴重影響航空發動機的安全使用。采用無損檢測與金相檢測相結合的方法對GH4169構件的微觀組織結構進行監測可有效保障制造質量和適用安全。
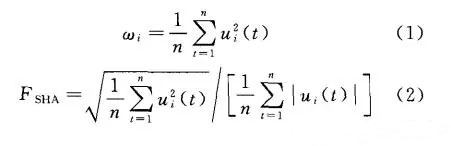
在不同固溶溫度(900~1150 ℃)下對GH4169試樣進行固溶處理。采用脈沖回波法對試樣進行縱波超聲檢測,探頭頻率為10 MHz,用一次底波、二次底波的峰值、時間差和試樣厚度計算衰減系數、聲速,對截取的背散射信號(截取位置為一次底波和二次底波之間,如圖1所示)進行經驗模態分解,取分解后生成的固有模態函數,計算平均功率w;和波形維數FsHA,計算公式如式(1)所示。
式中:n為信號長度;ḭ為IMF的階數;ui(t)為第i階IMF信號;t為采樣點序號。
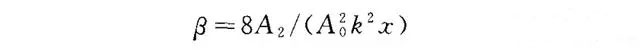
利用Ritec RAM-5000-SNAP非線性超聲測試系統,采用縱波共線諧波法測量并計算非線性系數,發射和接收探頭的中心頻率分別為2.5,5 MHz。非線性系數計算公式如式(3)所示。
式中:x為傳播距離;A。,A₂分別為基波幅值,二次諧波幅值;k為波數,近似認為x和k為定值,采用相對非線性系數β'代替β,即β'=A₂/A2。
對試樣進行金相檢驗,采用顯微鏡觀察試樣微觀組織形貌,并運用圖像分析軟件進行晶粒大小及形狀的測量,分別計算平均晶粒直徑(晶粒尺寸)和平均晶粒縱橫比(晶粒形狀)。